פיזור המסתורין מעל שנאי ת"ר חלק 1: דיון למתחילים על תיאוריה, טכנולוגיות ויישומים של שנאים
מאת וויליאם יו [William Yu] ואורוואשי סנגל [Urvashi Sengal], Mini–Circuits
מבוא
בעיקרו, שנאי אינו אלא שני נתיבים של מוליכים, או יותר, הקשורים ביניהם בשדה מגנטי משותף. כאשר שטף מגנטי משתנה מתפתח בתוך הליבה, כתוצאה מזרם חילופין שעובר דרך נתיב מוליך אחד, מושרה זרם בנתיב המוליך האחר. זרם מושרה זה יחסי ליחס של הצימוד המגנטי בין שני נתיבי ההולכה. היחס בין הצימוד המגנטי של הנתיבים המוליכים לבין הליבה קובע את המתח המושרה בנתיבי ההולכה הנוספים ומספק טרנספורמציה של העכבה (אימפדאנס) וגם העלאה או הורדה של המתח. אפשר להוסיף נתיבים מוליכים נוספים שכולם יכולים להיות עם יחסי צימוד שונים, על מנת לממש פונקציות שונות, וזו הסיבה ששנאי ת”ר (RF) הם התקנים כה מגוונים ורב-תכליתיים, אשר משמשים באופן נרחב בכל תעשיית הת”ר/ גלי המיקרו.
מימוש נפוץ של שנאי ת”ר מורכב משני חוטים נפרדים, או יותר, מלופפים סביב ליבה מגנטית (או ליבת אוויר במקרה של תדירויות גבוהות), וזו הסיבה ששנאי ת”ר מתוארים לא פעם בתור היחס בין מספר הליפופים או הכריכות.
שנאי ת”ר משמשים במגוון רחב של יישומים, מאחר שאופי ההתקן מאפשר לקיים מגוון של תצורות שיכולות לשמש עבור מכלול פונקציות שונות, לרבות (אבל לא רק):
- הזרקה של זרם ישר
- בידוד מתח ישר בין מעגלים
- הגדלה של דחיית אות משותף (common mode rejection)
- אספקה של טרנספורמציית עכבה לצורך תיאום עכבות
- צימוד יעיל בין מעגלים מאוזנים למעגלים לא מאוזנים
- השראה מעלה או מטה של מתח/ זרם
קיימות כמה טכנולוגיות נפוצות המשמשות לבנייה של שנאים, כולל ליבה וחוט, קו תמסורת, קרמיקה שנכבשה בטמפרטורה נמוכה (LTCC) ומעגלים משולבים מונוליתיים המיועדים לגלי מיקרו (MMIC). כל אחת מהן קיימת במגוון מארזים ועם טווח רחב של מאפייני ביצועים.
מאמר זה מהווה את החלק הראשון בסדרה שלנו, שכותרתה פיזור המסתורין מעל שנאי ת”ר, אשר מתמקד בהצגת התיאוריה של שנאי ת”ר במקביל לדיון על טכנולוגיות ויישומים נפוצים של שנאי ת”ר.
התיאוריה בנושא שנאים ותובנות מעשיות
על אף שזה לא חיוני עבור יישומים מעשיים, המודל הבסיסי של השנאי האידיאלי מסייע מאוד בתיאור ההתנהגות הבסיסית של שנאים. עיין בתרשים שבאיור 1.

הזרם העובר דרך הסליל הראשוני יוצר שטף מגנטי (לפי חוק פאראדיי) דרך השדה המגנטי המשותף של הליבה, והוא משרה זרם, מתח ועכבה יחסיים בסליל המשני. הזרם והמתח שמתפתחים יהיו יחסיים ליחס הסלילים או הצימוד המגנטי שקיים בין הסלילים לבין הליבה.
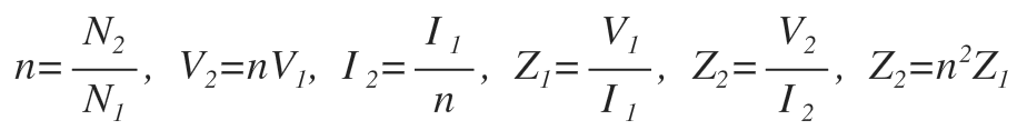
מכאן, שהעכבה של הסליל המשני היא פונקציה של ריבוע יחס הכריכות כפול העכבה של הסליל הראשוני (משוואה 1). כאשר I1, V1 ו- Z1 הם הזרם, המתח והעכבה של הסליל הראשוני, I2, V2
ו- Z2 הם הזרם, המתח והעכבה של הסליל המשני, N1 הוא מספר הכריכות בסליל הראשוני, N2 הוא מספר הכריכות בסליל המשני, 1 ו- 2 חיבורי הכניסה של הסליל הראשוני ולבסוף, 3 ו- 4 יהיו חיבורי היציאה של הסליל המשני.

עם זאת, בשנאי ממשי יש באופן מובנה התנגדויות, השראויות וקיבולים פרזיטיים, של קיבולים משותפים וקיבולים פרזיטיים עצמיים. באיור 2 מתואר מודל אלמנטים מקובצים (lumped-element model) של שנאי לא אידיאלי, אשר מתאר התנגדויות והשראויות פרזיטיות של שני הסלילים, וכן את הפסדי התנגדות הליבה ואת ההשראות האקטיבית של הסלילים. מתוך המודל של שנאי לא אידיאלי, ברור שהתקנים אלו פועלים ברוחב פס מוגבל, שיש לו הפסדי מעבר (insertion loss) ודירוג הספק מרבי, והם מציגים ביצועים אחרים תלויי תדירות, טמפרטורה והספק.

בדרך כלל, תדר הקיטעון הנמוך של שנאי ת”ר אמיתי מוכתב על ידי ההשראות האקטיבית של הסליל, ותדר הקיטעון הגבוה נקבע על ידי הקיבול בין הסלילים ובתוך הסלילים. הפסדי המעבר שקיימים ברוחב הפס הפעיל הם תוצאה של ההפסדים האוהמיים בסליל הראשוני ובסליל המשני בתוספת ההפסדים בתוך הליבה. מאחר שהפסדים אוהמיים נוטים להיות פונקציה של התדירות והטמפרטורה, רוחב פס יעיל לפעולה של שנאי יהיה מוגבל על ידי שני הגורמים האלו. בכמה סוגים של שנאי ת”ר יש השראויות זליגה הנובעות מצימוד מגנטי לא שלם בין הסלילים. מאחר שההיגב (reactance) של ההשראות יחסי לתדירות, ערכים פרזיטיים אלו יקטינו את הפסדי ההחזרה (return loss) בתדירויות גבוהות, אבל יגדילו את הפסדי המעבר בתדירויות נמוכות.
טופולוגיות מורכבות יותר של שנאים, למשל כאלו של שנאים עם כמה סלילים, סנפים ואלמנטים נוספים מציגות דינמיקת ביצועים משתנה שמבוססת על הטופולוגיה ועל מבנה השנאי. לדוגמה, אפשר לממש התקן ת”ר באמצעות שנאי ת”ר, הידוע בשם Balun (מאוזן ללא מאוזן), אשר משמש לחיבור פנימי יעיל של מעגלי ת”ר מאוזנים (עם נתיב אותות הפרשי) אל מעגלי ת”ר לא מאוזנים (עם נתיב אותות מיוחס – בחיבור יחיד) עם טרנספורמצייה של עכבות. בנוסף, אפשר גם לממש באמצעות שנאי ת”ר התקן אחר, דומה ל- Balun, אשר ידוע בשם Unun, אשר משמש לחיבור יעיל של מעגלי ת”ר לא מאוזנים אל מעגלי ת”ר לא מאוזנים.
התקן Balun נפוץ שתוכנן ויוצר משנאי הוא שנאי Balun בצימוד שטף, אשר מיוצר על ידי ליפוף חוטים נפרדים סביב ליבה מגנטית והארקת צד אחד של הכריכות הראשיות. לכן, אותות ת”ר המיוחסים (בחיבור צד אחד להארקה), אשר נכנסים בצד הסליל העיקרי הלא מאוזן, עוברים טרנספורמציה של העכבה למוצא הפרשי (מאוזן) דרך הסליל המשני. בחינה מעמיקה יותר של התיאוריה, התפקוד והביצועים של ה- Balun וה- Unun יוצגו בחלק 2 של הסדרה פיזור המסתורין מעל שנאי ת”ר.
הערות לגבי ליבות מגנטיות של שנאים
שנאי ת”ר אשר כוללים ליבה מגנטית (בדרך כלל פרומגנטית) נתונים לכמה גורמים בלתי רצויים שפוגמים בביצועיהם. למשל השראת המיגנוט של הליבה מגבילה את ביצועי התדירות הנמוכה של שנאי ת”ר. השראת המיגנוט היא פונקציה של חדירות (permeability) הליבה, שטח חתך הרוחב של הליבה המגנטית ומספר הכריכות סביב הליבה. השראת המיגנוט מגדילה את הפסדי המעבר בתדירויות נמוכות וגם מקטינה את הפסדי ההחזרה. כמו כן, החדירות של הליבה היא פונקציה של הטמפרטורה, כשעלייה בחדירות מובילה לעלייה בהפסדי המעבר בתדירויות נמוכות.
טכנולוגיות של שנאי ת”ר
שני הסוגים העיקריים של שנאי ת”ר בדידים הם שנאי ליבה עם חוט ושנאי קו תמסורת. בנוסף, קיימים שני סוגים נפוצים של תכנונים לשנאיי ת”ר בעלי פרופיל נמוך וקומפקטי: שנאי LTCC ושנאי MMIC.
שנאי ת”ר מסוג ליבה וחוט
שנאי ת”ר מסוג ליבה וחוט מיוצרים על ידי ליפוף חוטים מוליכים, בדרך כלל חוטי נחושת מבודדים, סביב ליבה מגנטית, כמו למשל טורואיד. אלו יכולים להיות ליפוף משני אחד או יותר, אשר יכולים גם להיות עם הסתעפויות, כדי לאפשר פונקציות נוספות. איור 3 מציג שנאי ת”ר שמורכב מליבה מגנטית טורואידית וכריכות נחושת מבודדות. כתוצאה מהצימוד ההשראי בין החוטים לבין הליבה, ממדים קטנים יותר של ליבה וחוטים נוטים ליצור שנאי ליבה וחוט שיכולים לפעול בתדירויות גבוהות יותר בהרבה מאשר שנאי ליבה וחוט גדולים יותר. עם זאת, הממדים הקטנים יותר של שנאי ליבה וחוט קומפקטיים, מגדילים גם את ההפסדים ההתנגדותיים של הכריכות ושל הליבה, וכתוצאה הם יציגו הפסדי מעבר גדולים יותר בתדירויות נמוכות.

שנאי ת”ר מבוסס קו תמסורת
לשנאי קו תמסורת קיים מגוון של טופולוגיות שיכולות לכלול קווי תמסורת מתוכננים באופן מדויק ומוצבים בין שני עומסים לא מתואמים או בסידור מורכב של כמה קווי תמסורת. לדוגמה, האורך של קו תמסורת יכול לשמש כדי לממש טרנספורמציה של עכבה בין שני עומסים לא מתואמים. בחלק מהשנאים של קווי התמסורת משתמשים בחוטים מבודדים שכרוכים סביב ליבות פריט (ferrite) במבנה דומה מאוד לשנאים טיפוסיים מסוג ליבה וחוט, ואלו לעתים נחשבים לשנאי ליבה וחוט. ההסבר המובא בהמשך משמש פחות למטרות סיווג, ומיועד לתאר היבטים של התנהגות שנאים ולהרחיב את ההבנה.
שנאי קו תמסורת בסיסי מורכב מקו תמסורת של שני מוליכים. המוליך הראשון מחובר מהמחולל אל העומס, והמוליך השני מחובר בין המוצא של קו התמסורת הראשון לבין ההארקה, כפי שנראה באיור 4. בתצורה זו, הזרם שעובר דרך העומס יהיה כפול מהזרם שעובר דרך המחולל ו- V0 הוא מחצית המתח V1. מכאן, שהתנגדות העומס היא רק רבע מההתנגדות שנראית בצד של המחולל, ונוצר שנאי של 1:4 (משוואה 2).



גרסה נפוצה של שנאי קו תמסורת היא שנאי קו תמסורת לרבע גל. בטופולוגיה זו משתמשים בקו תמסורת עם עכבה אופיינית שמאפשרת תיאום עכבות בין עכבת הכניסה לעומס. האורך של שנאי רבע גל מוכתב על ידי תדירות הפעולה הרצויה, והוא מוגבל לאוקטבה אחת של רוחב הפס סביב התדירות המרכזית. ניקח לדוגמה קו תמסורת ללא הפסדים עם עכבה אופיינית Z0 ואורך L, שמחובר בין עכבת הכניסה Zin לבין עכבת היציאה ZL כפי שמוצג באיור 5. על מנת ליצור תיאום בין Zin לבין ZL, יש צורך שהעכבה האופיינית של קו התמסורת לרבע גל תהיה השורש הריבועי של Zin מוכפל ב- ZL (משוואה 3).


אחד היתרונות של שנאי קו תמסורת טמון בכך שחלק משמעותי של קיבול הכריכות הפנימיות נלקח בחשבון מתוך הפרמטרים של קו התמסורת עם השראות הזליגה, והתוצאה המתקבלת היא רוחב פס פעולה רחב יותר באופן יחסי, בהשוואה לשנאי ליבה וחוט.
שנאים מסוג LTCC
רכיבים מסוג קרמיקה שנכבשה בטמפרטורה נמוכה (LTCC) הם רכיבים בעלי שכבות מרובות שמיוצרים ממצע מבוסס קרמיקה. בשנאים מסוג LTCC משתמשים בזוגות חוטים שפועלים כמו קווי תמסורת על מנת לקבל טרנספורמציה של עכבות והמרת אותות מחיבור מיוחס לחיבור מאוזן. בשנאים מסוג LTCC מסתמכים על צימוד קיבולי כדי שיפעלו. כך מתאפשר לשנאים מסוג LTCC לפעול בתדירויות גבוהות יותר בהשוואה לשנאים פרומגנטיים, אבל מימוש כזה עלול להוביל לירידה בביצועים בתדירויות נמוכות. התועלת הקיימת בטכנולוגיית LTCC היא היכולת לייצר שנאים קטנים ומוקשחים, שמתאימים במיוחד ליישומים בעלי אמינות גבוהה, כפי שאפשר לראות באיור 6.

שנאים מסוג MMIC
בדומה לטכנולוגיות LTCC, בייצור של שנאי MMIC משתמשים במצע דו ממדי (2D) בשכבות בדיוק גבוה עם מיתוך (metallization) מישורי. בדרך כלל, שנאי MMIC מיוצרים באמצעות מוליכים סליליים שמודפסים על מצע בתצורה של שני קווי תמסורת מקבילים זה לזה. תהליך MMIC שימושי בייצור של שנאים לתדירויות גבוהות, והוא מדגים הדירות (repeatability) יוצאת דופן ונצילות תרמית מצוינת. אפשר לייצר שנאי MMIC בתהליך של התקן פסיבי משולב (IPD) מגליום ארסן (GaAs), כפי שמוצג באיור 7.

מבוא לפונקציות ויישומים של שנאי ת”ר
כפי שצוין בסעיפים הקודמים במאמר זה, קיים מגוון של פונקציות ששנאי ת”ר יכולים לבצע בתלות בטופולוגיה שלהם.
פונקציות של טרנספורמציה
למשל פונקציה של התמרת עכבה יכולה לשמש כדי ליצור תיאום בין שני מעגלים עם עכבות שונות לחלוטין, וכן כדי לספק העלאת מתח או הורדת מתח ביחס למתח המקור.
שנאי תיאום עכבות
קיימים מקרים רבים של מעגלי ת”ר שבהם חוסר תיאום של עכבות בין שני צמתים יכול לגרום להפחתה בנצילות מעבר ההספק ולאפשרות של החזרות שיוצרות בעיות מסוימות. מכאן ששנאי תיאום עכבות יכול לשמש כדי לבטל ביעילות את ההחזרות ולספק העברת הספק מרבית בין שני צמתים במעגל (עיין באיור 8).

התקני Unun והתקני Balun
יתר על כן, עבור קווים מיוחסים (בחיבור צד אחד להארקה) אפשר להשתמש בתצורה של שנאי עצמי (autotransformer) לצורך תיאום עכבות, כלומר בהתקן Unun. כפי שצוין קודם, אפשר להשתמש בשנאי Balun כדי לחבר בין חלקי מעגל מיוחסים לבין חלקי מעגל הפרשיים (מאוזנים).
בידוד מתח ישר
אפשר גם לתכנן שנאי ת”ר באופן כזה שישמש לבידוד מתח ישר בין הכריכות של הסליל הראשוני לכריכות של הסליל המשני, שבו ניתן להשתמש להפרדה של מעגלי ת”ר שנדרש להם ממתח (bias) של מתח ישר בקו תמסורת ת”ר ביחס למעגלי ת”ר, אשר היו עלולים להיות מושפעים באופן שלילי ממתח ישר בקו האותות.
הזרקת זרם ישר
מעבר לכך, אם זרם ישר נדרש לתת-מערכת של מעגל, שנאי ת”ר ייעודי יכול לשמש כדי להזריק את הזרם הישר לתוך נתיב האות. לדוגמה, שני שנאים עם סנף אמצעי יכולים לשמש כדי להזריק ממתח במתח ישר, ולהחליף את הצורך בשני חיבורי ממתח T (Bias T) (עיין באיור 9).

שיפור דחיית אות משותף
תכנונים מסוימים של שנאי ת”ר יכולים לשמש כדי לספק דחייה של אות משותף (common mode rejection – CMR) עבור מעגלים מאוזנים (הפרשיים).
סליל משנק ת”ר
אפשר להשתמש בטופולוגיות נוספות כדי לסנן רכיבי ת”ר בתדירות גבוהה בקו אותות, כך שישמש כמשנק (choke).
מסקנות
אפשר לייצר שנאי ת”ר במגוון רחב של שיטות ייצור, עם טווח מגוון של חומרים ובמספר רב של תצורות טופולוגיה, על מנת שיבצעו פונקציות מועילות במעגלי ת”ר. בתלות בחומרים, במבנה ובתכנון, אפשר לייצר שנאי ת”ר לפסי תדירויות צרים או רחבים ולפעולה בתדירויות גבוהות או נמוכות. הבנת הבסיס והניואנסים המפורטים של שנאי ת”ר יכולה לעזור למתכנן לשפר את התכנון על ידי בחירה נכונה בשנאי.
כאן מסתיים חלק 1 של הסדרה פיזור המסתורין מעל שנאי ת”ר. הישארו בקשר למאמרים הבאים:
- פיזור המסתורין של שנאי ת”ר חלק 2: התקני Balun ו- Unun
- פיזור המסתורין של שנאי ת”ר חלק 3: הבנת פרמטרי הביצועים של שנאי ת”ר
- פיזור המסתורין של שנאי ת”ר חלק 4: כיצד לבחור את השנאי האידיאלי
להמשך קריאת חלק 2
לכל דגמי השנאים: https://staging.mcdi-ltd.com/rf-transformers-and-baluns





