מסננים ללא החזרות משפרים לינאריות ותחום דינמי במערכות מיקרוגל
Ming Hao Yan, Applications Engineer, Mini-Circuits
מסננים הם אבני יסוד בסיסיות כמעט בכל מערכת מודרנית של ת”ר (RF) או גלי מיקרו, שמשמשים לסילוק אותות בלתי רצויים בארכיטקטורות של מקלטים ומשדרים. עד לאחרונה, מחקרים שבוצעו בנושא התכנון המעשי של מסננים הוקדשו בעיקר לטופולוגיות שבהן הדחייה של תדירויות בפס החסימה הושגה על ידי החזרה של אותות לא רצויים אל המקור. באותו זמן, קיימים יישומים רבים שבהם החזרות אלו יוצרות תוצרים של אפנון ביניים, אדוות בהגבר (gain ripple) ובעיות נוספות בביצועי המערכת. למשל, התקנים לא ליניאריים כגון ערבלים, מכפלים ומגברים בעלי הגבר גבוה, שלהם יש תגובה בתדירויות מחוץ לפס, רגישים ביותר להחזרות שנגרמות על ידי תכנונים שגרתיים של מסננים. מצב זה הופך להיות מאתגר במיוחד, מפני שלא פעם המסננים נדרשים בסמוך או בצמוד להתקנים אקטיביים הנמצאים במסלול של האות, על מנת להגדיר טוב יותר את רוחב הפס או לדכא הרמוניות בלתי רצויות.
על מנת לנהל את התופעות המזיקות האלו, מתכנני מערכות ת”ר השתמשו עד כה בכמה גישות, שבהן היה מעורב “כוח אלים”, למשל הוספה של מנחתים או מגברים מבודדים סביב הרכיבים הרגישים, אם כי אלו ידועות כטכניקות שגורמות לפגיעה ביחס אות לרעש (SNR) הכולל ובתחום הדינמי הכולל של המערכת. בליעה של אותות מפס החסימה הושגה על ידי חיבור של אחד מהדקיו של דיפלקסר לסיומת (או חיבור כל הדקיו – למעט אחד – של מולטיפלקסר לסיומות), אבל בגישה זו נדרש מקום רב ועדיין יש בה החזרות כתוצאה מאי תיאום בתמסורת. אפשר גם להשתמש במסננים מאוזנים עם התקנים היברידיים (מפלגי ˚90) בכניסה וביציאה, על מנת ליצור חציצה מפני החלקים המוחזרים, אבל במצב כזה יוגבל רוחב הפס של המסנן על ידי רוחב הפס של ההתקנים ההיברידיים, ועל כן טכניקה זו אינה מתאימה ליישומים רחבי פס.
לכן נוצר הצורך הברור בטופולוגיות מסננים חדשות במערכות ת”ר וגלי מיקרו, שבהן אנרגיית פס החסימה נבלעת אל תוך המעגל ולא מוחזרת אל המקור. הצורך הזה הוביל לתהליכי מחקר ופיתוח מתקדמים בנושא טופולוגיה חדשנית, רשומה כפטנט, של מסננים ללא החזרות, שאיתם Mini-Circuits עומדת לצאת לשוק השנה, לשימוש מסחרי1.
טופולוגיית המעגל
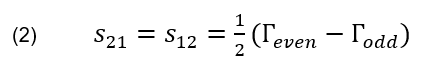
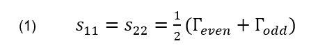
הטופולוגיה של המסנן ללא החזרות מניחה רשת סימטרית בעלת שני הדקים שנגזרה על בסיס ניתוח מצב זוגי ואי זוגי. גישה זו מאפשרת לחלק רשת של שני הדקים (בתיאוריה) לשתי רשתות של הדק יחיד, כל אחת מהן מכילה מחצית מכמות החלקים שיש ברשת בעלת שני ההדקים. במעגל שווה הערך של המצב הזוגי, הצמתים שנמצאים במישור הסימטרייה נחשבים כמנותקים, שעה שבמעגל שווה הערך למצב האי זוגי הצמתים שנמצאים במישור הסימטרייה נחשבים כחיבורים להארקה (או קצר וירטואלי). פרמטרי S של הרשת הסימטרית בעלת שני ההדקים מוגדרים לכן כהרכבה (סופרפוזיציה) של מקדמי ההחזרה במצב זוגי ובמצב אי זוגי, כך שמתקיים:
1 מוגן על ידי פטנט מספר 8,392,495 של ארה”ב ופטנט מספר ZL201080014266.1 של סין. הבקשות לפטנטים מספר 14/724976 (ארה”ב) ו- PCT/US15/33118 לפי הסכם שיתוף פעולה בנושא פטנטים (PCT) עודן בהמתנה.
וכן:
בהינתן הדרישה שהמעגל יהיה ללא החזרות, חייב להיות שווה לאפס (מנורמל לעכבה אופיינית של הרשת). מכאן נובע:
התנאי הזה יתקיים כאשר הרכיבים התואמים של המעגלים שווי הערך של המצב הזוגי והמצב האי זוגי יהיו תואמים, האחד של השני. הנגזרת של מסנן מעביר נמוכים ללא החזרות לפי מתודולוגיה זו מתוארת בקצרה באיור 1 להלן:
במעגל שנוצר, האותות בפס המעבר של המסנן עוברים ישירות מהמבוא למוצא. האותות שבפס החסימה של המסנן מנותבים ישירות אל הנגדים אשר מהווים סיומת פנימית עבור האותות.
הביצועים האופייניים של מסנן מעביר נמוכים ללא החזרות בעל קוטב יחיד מסוג זה, מוצגים באיור 3. המסנן מציג תגובה מסוג Chebychev מהופך מסדר שלישי, אבל הוא נבדל באופן ברור מהמסננים הרגילים, בכך שמקדם ההחזרה הוא אפס עבור כל התדירויות. אמנם, דוגמה זו מציגה מסנן מעביר נמוכים ללא החזרות, אך אותה טכניקה ממש שימשה כדי לגזור גם מגוון רחב של מסננים מעבירי גבוהים, מסננים מעבירי פס ומסננים חוסמי פס.
הרחבות תכנון
הרחבות של גישת תכנון זו כוללות מסננים מסדר גבוה יותר שבהם נגדי הסיומת מוחלפים ברשתות משנה מתואמות, כדי להשיג שיפורים בדחייה שבפס החסימה ובתלילות של שיפוע המעבר. לדוגמה, בסדרה של מסננים מעבירים נמוכים מסדר שלישי (סדרת XLF3) שפותחה, קיים קינון של שלושה מסננים ללא החזרות. תכנונים אלו מציגים מעברים חדים יותר ודחייה גבוהה יותר באוקטבה הראשונה של פס החסימה, ביחס למה שמתקיים במסננים מעבירי נמוכים ללא החזרות מסדר ראשון.
כהרחבה נוספת, חיבור מדורג של מסננים (בקסקדה) משמש ביישומים רבים לשיפור הדחייה בפס חסימה או כדי לשלב מסנן מעביר גבוהים ומסנן מעביר נמוכים על מנת ליצור תגובה של מסנן מעביר פס. שעה שחיבור מדורג של מסננים רגילים יכול ליצור אדוות בתוך הפס וגם חוסר יציבות במופע (פאזה), אפשר לחבר במדורג מסננים ללא החזרות, מבלי להוסיף לביצועי המסנן את ההשפעות האלו. תרשימים המשווים בין הפסדי מעבר אופייניים, הפסדי החזרה אופייניים והשהית החבורה (group delay) של מסנן רגיל בחיבור משורשר, לבין אלו של מסנן ללא החזרה בחיבור משורשר, ראה איור 4.
אפשר לראות שחיבור משורשר של מסננים רגילים יוצר אדוות בתוך הפס, מקלקל את הפסדי ההחזרה ויוצר חוסר יציבות במופע. לעומת זאת, המסננים ללא החזרה לא מציגים אף לא אחת מבין התופעות המזיקות האלו, גם כאשר מחברים במשורשר שלושה מקטעים.
יישומים מעשיים
מסננים ללא החזרות יהיו שימושיים במיוחד במקרים שבהם יש שילוב של התקנים לא ליניאריים רגישים, כאלו שהשימוש בהם עם מסננים רגילים גורם לבעיות באופן ידוע לשמצה. אחת הדוגמאות היא מקרה שבו מסנן משמש סמוך לערבל בשרשרת האותות. ערבלים יוצרים תוצרי שווא
(spurious), הרמוניות LO גבוהות וחלקי אותות בלתי רצויים אחרים, שאותם יש לסנן. עם זאת, במסננים רגילים, תדירויות אלו מוחזרות אל תוך הערבל, שם הן יכולות להיות מומרות שוב או לעבור ערבול חוזר עם האותות הרצויים, וליצור אותות מרובים בלתי רצויים שעלולים להימצא גם בתוך פס המעבר הרצוי.
הקטנה של תוצרי אפנון הביניים, אשר נוצרים על ידי הערבל הלא ליניארי, הייתה תמיד אחד היעדים של התכנון, ועד כה הופיעו בתעשייה רמות שונות של הצלחה עם ערבלים בעלי טווח דינמי גדול שמבוססים על טרנזיסטורי FET. עם זאת, גם הערבלים הטובים ביותר מייצרים תוצרים של אפנון ביניים ברמה מסוימת בכל הדק, אשר לאחר מכן יוצרים תגובה עם החלקים הסמוכים שבשרשרת אותות ת”ר. כאשר חלקים סמוכים אלו הם מסננים, תוצרי אפנון הביניים שמחוץ לפס מוחזרים במלואם אל תוך הערבל, משולבים שוב עם האות הבסיסי ויוצרים “חברי משפחה” נוספים של תוצרי שווא לא רצויים. תוצרי שווא אלו ימצאו את דרכם אל מוצא תדר הביניים (IF), ואחדים מהם יהיו, בסופו של דבר, בתוך פס המעבר ויגבילו את הטווח הדינמי הכולל של המערכת.
כאשר ההחזרות שמחוץ לפס שמגיעות ממסננים מוקטנות למינימום, אותם תוצרי שווא של “חברי משפחה” מוקטנים, והתוצאה המתקבלת היא הפחתה נטו בתוצרי אפנון הביניים הבלתי רצויים שבתוך הפס ושיפור הטווח הדינמי הכולל של המערכת.
בנוסף, תוצרי שווא בלתי רצויים אלו יכולים להיות בעלי עוצמה משמעותית ולהופיע במופע שאותו לא ניתן לקבוע. לכן, ביחסי מופעים מסוימים, אותות אלו עלולים להתאבך באופן הורס עם האותות שעוברים המרה כלפי מטה ולהביא לתוצאה של תופעה שבה האות “נשאב” (suck out) בנקודה מסוימת בפס התדרים, כפי שאפשר לראות בעקומה האדומה שבאיור 7. תופעה זו מתרחשת באופן נפוץ במערכות רחבות פס במידה מסוימת בגלל שעל פני רוחב פס רחב יותר קיימת סבירות גדולה יותר לקיום של יחסי מופעים הרסניים בין האותות המוחזרים לאות הרצוי. אפילו במקרים שבהם תופעה זו לא מתרחשת, הצורה הכללית של עקומת הפסדי ההמרה תשתנה ותפתח אדוות כאשר ישתנה האורך החשמלי של הקו בין הערבל למסנן. למעשה, כל זאת הופך את שילובי הערבלים עם מסננים לרגישים גם לתנאי הסביבה.
עם זאת, למסנן ללא החזרות אין השפעות כאלו על ביצועי הערבל, מפני שתוצרי השווא נבלעים, במקום שיהיו מוחזרים אל תוך הערבל, שם הם יכולים להתאבך. בעקומת הפסדי ההמרה של הערבל במערך זה, לא רק שאין תופעת ‘שאיבה’ שמופיעה בשימוש במסנן הרגיל, אלא שמערך זה לחלוטין אינו רגיש לאורך הקו שבין המסנן לבין הערבל.
תכונות אלו בדיוק הופכות את המסננים ללא החזרות מתאימים לשימוש עם סוגים אחרים של רכיבים רגישים כגון, שרשרות של מכפלים שבהם ההחזרות יכולות לתרום להכפלה של הרמוניות בלתי רצויות ולאדוות של הגבר ההמרה. הם משמשים מזה זמן כדי להרחיב את הטווח הדינמי חסר השגיאות (SFDR) בממירים מאנלוגי לספרתי (ADC) על ידי בליעת אותות שווא בקצב אות השעון, בטרם יוכלו לחזור ולהיכנס לתוך ממיר ה- ADC. באופן דומה הם יכולים לשמש למניעת האפשרות של אי יציבות על ידי ביטול משוב לא מכוון במגברים עם הגבר גבוה, וכך להימנע מבעיות של יציבות, מבלי שיהיה צורך במנחתים נוספים, כדי לעצור החזרות מפס החסימה.
מסקנות
הפיתוח של טופולוגית מסנן ללא החזרות מייצגת התקדמות מהפכנית שתאפשר שיפורים משמעותיים בביצועים של מערכות ת”ר ביישומים רבים. טכנולוגיה זו פותרת כמה בעיות שקיימות מזה זמן רב, הקשורות בשיבוץ מסננים בשרשרות השידור והקליטה.
חלק מהיישומים שיוכל לזכות ביתרונות (או אולי כבר זכה בהם) כתוצאה מהחלפת המסננים הרגילים במסננים ללא החזרות נדונו במאמר זה, אבל ההיקף המלא של השימושיות בהם ביישומים מעשיים טרם הוכר. Mini-Circuits תוציא לשוק היצע ראשוני של 23 דגמים, בהם נכללים תכנונים של מסנן מעביר נמוכים (מסדר ראשון ומסדר שלישי), מסנן מעביר גבוהים, מסנן מעביר פס שמכסים תחומי מעבר מ- DC עד 21 ג’יגה הרץ. המסננים מיוצרים בגליום ארסן (GaAs) בטכנולוגית תהליך IPD ונתונים במארזי QFN זעירים בגודל 3×3 מ”מ.





